符號
|
+ 鍵 |
|
|
傳回兩個引數的和。 |
|
|
列表1 + 列表2Þ列表 矩陣1 + 矩陣2Þ矩陣 傳回包含列表1 和列表2(或矩陣1 和矩陣2)對應元素相加之和的列表(或矩陣)。 引數的維數必須相同。 |
|
|
傳回列表,其元素包含列表1 中各元素加上 Expr 的和。
傳回列表,其元素包含列表1 中各元素加上值的和。 |
|
|
傳回矩陣,其元素是矩陣1 中對角線上各元素加上 Expr 的和。矩陣1 必需是方陣。
傳回矩陣,其元素是矩陣1 中對角線上各元素加上值的和。矩陣1 必需是方陣。 附註: 請用 .+(點加)讓各元素加上運算式。 |
|
|
- 鍵 |
|
|
|
|
|
列表1 N 列表2Þ列表 矩陣1 N 矩陣2Þ矩陣 使列表1(或矩陣1)的各元素減掉列表2(或矩陣2)的對應元素,然後傳回結果。 引數的維數必須相同。 |
|
|
使 Expr 減掉列表1 的各元素,或使列表1 的各元素減掉 Expr,然後傳回結果列表。
使值減掉列表1 的各元素,或使列表1 的各元素減掉值,然後傳回結果列表。 |
|
|
值
附註: 請用 .N(點減)使各元素減掉運算式。 |
|
|
r 鍵 |
|
|
傳回兩個引數的乘積。 |
|
|
列表1·列表2Þ列表 傳回列表,其元素包含列表1 和列表2 中對應元素的乘積。 列表的維數必須相同。 |
|
|
矩陣1 ·矩陣2Þ矩陣 傳回矩陣1 和矩陣2 的矩陣乘積。 矩陣1 的行數必須等於矩陣2 的列數。 |
|
|
傳回列表,其元素包含 Expr 乘以列表1 各元素的乘積。
傳回列表,其元素包含值乘以列表1 各元素的乘積。 |
|
|
傳回矩陣,其元素包含 Expr 乘以矩陣1 各元素的乘積。
傳回矩陣,其元素包含值乘以矩陣1 各元素的乘積。 附註: 請用 .·(點乘)讓運算式乘以各元素。 |
|
|
p 鍵 |
|
|
傳回值1 除以值2 的商。 附註: 另請參考分數範本,這裡。 |
|
|
列表1 à 列表2Þ列表 傳回列表,其元素包含列表1 除以列表2 的商。 列表的維數必須相同。 |
|
|
傳回列表,其元素包含 Expr 除以列表1 或列表1 除以 Expr 的商。
傳回列表,其元素包含值除以列表1 或列表1 除以值的商。 |
|
|
矩陣1 à 值 Þ 矩陣 傳回矩陣,其元素包含矩陣1à值的商。 附註: 請用 ./(點除)使運算式除以各元素。 |
|
|
l 鍵 |
|
|
列表1 ^ 列表2 Þ 列表 傳回以第一個引數為底,第二個引數為冪的指數值。 附註: 另請參考指數範本,這裡。 若是列表,則傳回以列表1 中各元素為底,列表2 對應元素為冪的指數值。 在實數領域中,有奇分母的簡化指數之分數冪會使用實數分枝,複數模式則使用主枝。 |
|
|
|
|
|
|
|
|
方陣1 ^ 整數 Þ 矩陣 傳回以 方陣1 為底,整數為冪的指數值。 方陣1 必須是方陣。 若整數 = L1,則計算反矩陣。 若整數 < L1,則以適當的正冪次方計算反矩陣。 |
|
|
q 鍵 |
|
|
傳回引數的平方值。 列表12 Þ 列表 傳回列表1 中各元素平方值的列表。 方陣12 Þ 矩陣 傳回方陣1 的矩陣平方值。這和計算各元素的平方值不同。請用 .^2 計算各元素的平方值。 |
|
|
^+ 鍵 |
|
|
矩陣1 .+ 矩陣2 Þ 矩陣 矩陣1 .+ 矩陣2:傳回矩陣,其元素是矩陣1 和矩陣2 中每組成對對應元素的和。
|
|
|
^- 鍵 |
|
|
矩陣1 .N 矩陣2 Þ 矩陣
矩陣1 .N矩陣2:傳回矩陣,其元素是矩陣1 和矩陣2 中每組成對對應元素的差。
|
|
|
^r 鍵 |
|
|
矩陣1 .·矩陣2 Þ 矩陣 矩陣1 .·矩陣2:傳回矩陣,其元素是矩陣1 和矩陣2 中每組成對對應元素的乘積。
|
|
|
^p 鍵 |
|
|
矩陣1 ./矩陣2 Þ 矩陣 矩陣1 ./矩陣2:傳回矩陣,其元素是矩陣1 和矩陣2 中每組成對對應元素的商。
|
|
|
^l 鍵 |
|
|
矩陣1 .^ 矩陣2 Þ 矩陣
矩陣1 .^ 矩陣2:傳回矩陣,使矩陣2 的各元素是矩陣1 對應元素的指數。
|
|
|
v 鍵 |
|
|
L列表1 Þ 列表 L矩陣1 Þ 矩陣 傳回引數的負值。 若是列表或矩陣,則傳回所有元素的負值。 若引數是二進位或十六進位整數,則負值會提供二的補數。 |
二進位基底模式: 重要訊息: 數字零,而非英文字母 O
若要看到完整結果,請按 5,然後使用 7 與 8 移動游標。 |
|
/k 鍵 |
|
|
列表1 % Þ 列表 矩陣1 % Þ 矩陣 傳回 若是列表或矩陣,則傳回各元素都除以 100 的列表或矩陣。 |
附註: 強迫表示結果近似值, 計算機: 按 / ·。
|
|
= 鍵 |
|
|
運算式1 = 運算式2Þ布林運算式 列表1 = 列表2Þ布林列表 矩陣1 = 矩陣2Þ布林矩陣 若確定 運算式1 等於 運算式2,則傳回真。 若確定 運算式1 不等於 運算式2,則傳回偽。 若是其他情形,則傳回方程式的化簡形式。 若是列表和矩陣,則傳回對應元素逐一比較的結果。 輸入 範例的注意事項: 關於輸入多行程式和函數定義的說明,請參閱產品手冊中的「計算工具」章節。 |
使用以下數學檢定符號的函數範例:=、ƒ、<、{、>、|
g(x) 繪圖結果
|
|
/= 鍵 |
|
|
運算式1 ƒ 運算式2 Þ布林運算式 列表1 ƒ 列表2 Þ布林列表 矩陣1 ƒ 矩陣2 Þ布林矩陣 若確定 運算式1 不等於 運算式2,則傳回真。 若確定 運算式1 等於 運算式2,則傳回偽。 若是其他情形,則傳回方程式的化簡形式。 若是列表和矩陣,則傳回對應元素逐一比較的結果。 附註: 如果要從鍵盤插入本運算子,可輸入 /= |
請參考「=」(等於)的範例。 |
|
/= 鍵 |
|
|
運算式1 < 運算式2 Þ布林運算式 列表1 < 列表2 Þ布林列表 矩陣1 < 矩陣2 Þ布林矩陣 若確定 運算式1 小於 運算式2,則傳回真。 若確定 運算式1 大於或等於 運算式2,則傳回偽。 若是其他情形,則傳回方程式的化簡形式。 若是列表和矩陣,則傳回對應元素逐一比較的結果。 |
請參考「=」(等於)的範例。 |
|
/= 鍵 |
|
|
運算式1 { 運算式2 Þ布林運算式 列表1 { 列表2 Þ布林列表 矩陣1 { 矩陣2 Þ布林矩陣 若確定 運算式1 小於或等於 運算式2,則傳回真。 若確定 運算式1 大於 運算式2,則傳回偽。 若是其他情形,則傳回方程式的化簡形式。 若是列表和矩陣,則傳回對應元素逐一比較的結果。 附註: 如果要從鍵盤插入本運算子,可輸入 <= |
請參考「=」(等於)的範例。 |
|
/= 鍵 |
|
|
運算式1 > 運算式2 Þ布林運算式 列表1 > 列表2 Þ布林列表 矩陣1 > 矩陣2 Þ布林矩陣 若確定 運算式1 大於 運算式2,則傳回真。 若確定 運算式1 小於或等於 運算式2,則傳回偽。 若是其他情形,則傳回方程式的化簡形式。 若是列表和矩陣,則傳回對應元素逐一比較的結果。 |
請參考「=」(等於)的範例。 |
|
/= 鍵 |
|
|
運算式1 | 運算式2 Þ布林運算式 列表1 | 列表2 Þ布林列表 矩陣1 | 矩陣2 Þ布林矩陣 若確定 運算式1 大於或等於 運算式2,則傳回真。 若確定 運算式1 小於 運算式2,則傳回偽。 若是其他情形,則傳回方程式的化簡形式。 若是列表和矩陣,則傳回對應元素逐一比較的結果。 附註: 如果要從鍵盤插入本運算子,可輸入 >= |
請參考「=」(等於)的範例。 |
|
/= 鍵 |
|
|
布林運算式1 Þ 布林運算式2 傳回 布林運算式 布林列表1 Þ 布林列表2 傳回 布林列表 布林矩陣1 Þ 布林矩陣2 傳回 布林矩陣 整數1 Þ 整數2 傳回 整數
計算運算式 not <引數1> or <引數2> 並傳回真偽值或方程式的化簡形式。 若是列表和矩陣,則傳回對應元素逐一比較的結果。 附註:如果要從鍵盤插入本運算子,可輸入 => |
|
|
/= 鍵 |
|
|
布林運算式1 Û 布林運算式2 傳回 布林運算式 布林列表1 Û 布林列表2 傳回 布林列表 布林矩陣1 Û 布林矩陣2 傳回 布林矩陣 整數1 Û 整數2 傳回 整數
傳回兩個引數 XOR 布林運算的負值。 傳回真偽值或方程式的化簡形式。 若是列表和矩陣,則傳回對應元素逐一比較的結果。 附註:如果要從鍵盤插入本運算子,可輸入<=> |
|
|
º 鍵 |
|
|
列表1!Þ 列表 矩陣1!Þ 矩陣 傳回引數的階乘。 若是列表或矩陣,則傳回由各元素階乘所組成的列表或矩陣。 |
|
|
/k 鍵 |
|
|
字串1 & 字串2 Þ 字串 傳回將字串2 接上字串1 的文字字串。 |
|
|
目錄 > |
|
|
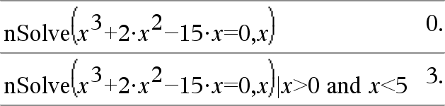
d(運算式1, Var[, 階數]) | Var=值Þ值 d(運算式1, Var[, 階數])Þ值 d(列表1, Var[, 階數])Þ列表 d(矩陣1, Var[, 階數])Þ矩陣 除非使用第一個語法,否則必須先在 Var 變數中儲存數值,才能對 d() 求值。請參考範例。
階數(若加入)必須等於 1 或 2。預設值是 1。 附註: 如果要從鍵盤插入本函數,可輸入 |
|
|
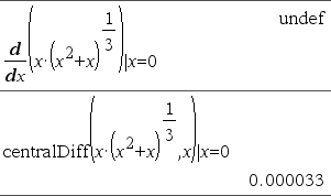
請研究右邊的範例。x·(x^2+x)^(1/3) 的一階導數在 x=0 處等於 0。但是由於 (x^2+x)^(1/3) 子運算式的一階導數在 x=0 處尚未定義,而且此值必須用於計算整個運算式的導數,所以 d() 會回報結果是未定義,而且顯示警告訊息。
|
|
|
目錄 > |
|
|
‰(運算式1, Var, 下限, 上限) Þ 值 傳回 運算式1 對於 Var 變數從下限到上限的積分。可利用與 nInt() 相同的方法,執行定積分的數值計算作業。 附註: 如果要從鍵盤插入本函數,可輸入 integral(...)。 |
|
|
/q 鍵 |
|
|
‡ (列表1)Þ列表 傳回引數的平方根。 若是列表,則傳回列表1 中各元素的平方根。 附註: 如果要從鍵盤插入本函數,可輸入 sqrt(...) 附註: 另請參考平方根範本,這裡。 |
|
|
目錄 > |
|
|
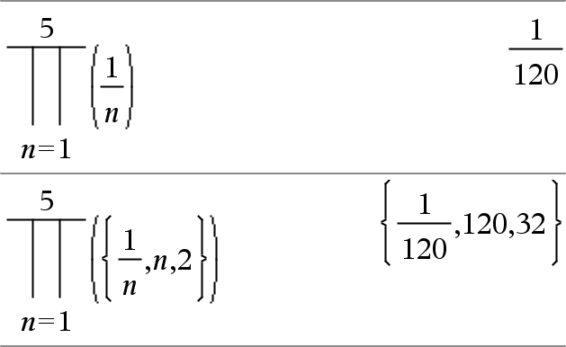
P(運算式1, Var, 低, 高)Þ運算式 附註: 如果要從鍵盤插入本函數,可輸入 prodSeq(...)。 計算 運算式1 在 Var 從低到高取值時的結果,並傳回結果的乘積。 附註: 另請參考乘積範本 (P),這裡。 |
|
|
P(運算式1, Var, 低, 低N1)Þ1 P(運算式1, Var, 低, 高) Þ1/P(運算式1, Var, 高+1, 低N1) if 高 < 低N1
所用的乘積公式乃由以下參考資料導出: Ronald L. Graham, Donald E. Knuth, and Oren Patashnik.Concrete Mathematics:A Foundation for Computer Science.Reading, Massachusetts:Addison-Wesley, 1994. |
|
|
目錄 > |
|
|
G(運算式1, Var, 低, 高)Þ運算式 附註: 如果要從鍵盤插入本函數,可輸入 sumSeq(...)。 計算 運算式1 在 Var 從低到高取值時的結果,並傳回結果的總和。 附註: 另請參考總和範本,這裡。 |
|
|
G(運算式1, Var, 低, 低N0)Þ1 G(運算式1, Var, 低, 高) ÞLG(運算式1, Var, 高+1, 低N1) if 高 < 低N1
所用的加總法公式乃由以下參考資料導出: Ronald L. Graham, Donald E. Knuth, and Oren Patashnik.Concrete Mathematics:A Foundation for Computer Science.Reading, Massachusetts:Addison-Wesley, 1994. |
|
|
目錄 > |
||||||||||
|
GInt(NPmt1, NPmt2, N, I, PV ,[Pmt], [FV], [PpY], [CpY], [PmtAt], [四捨五入值])Þ值 GInt(NPmt1,NPmt2,amortTable)Þ值 針對指定付款期數範圍,計算利息總和的攤銷函數。 NPmt1 與 NPmt2 用於界定付款期數範圍的起點和終點。 N,I,PV,Pmt,FV,PpY,CpY,PmtAt 的說明位於貨幣時間價值引數表(第 這裡 頁)。
四捨五入值用於指定四捨五入的小數位數。預設值 = 2。 GInt(NPmt1,NPmt2,amortTable) 可根據 amortTable 攤銷表計算利息總和。amortTable 引數必須是 amortTbl() 一節所描述的矩陣形式(第 這裡 頁)。 附註: 另請參考下一節 GPrn() 和 Bal()(這裡)。 |
|
|
目錄 > |
||||||||||
|
GPrn(NPmt1, NPmt2, N, I, PV, [Pmt], [FV], [PpY], [CpY], [PmtAt], [四捨五入])Þ值 GPrn(NPmt1,NPmt2,amortTable)Þ值 針對指定付款期數範圍,計算本金總和的攤銷函數。 NPmt1 與 NPmt2 用於界定付款期數範圍的起點和終點。 N,I,PV,Pmt,FV,PpY,CpY,PmtAt 的說明位於貨幣時間價值引數表(第 這裡 頁)。
四捨五入值用於指定四捨五入的小數位數。預設值 = 2。 GPrn(NPmt1,NPmt2,amortTable) 可根據 amortTable 攤銷表計算已付本金總和。amortTable 引數必須是 amortTbl() 一節所描述的矩陣形式(第 這裡 頁)。 附註: 另請參考上一節 GInt() 和 Bal()(這裡)。 |
|
|
/k 鍵 |
|
|
# var名稱字串 參照名稱是 var名稱字串的變數。本功能讓您在函數中用字串建立變數名稱。 |
建立或參照 xyz 變數。
傳回名稱儲存在 s1 變數中的變數(r)值。 |
|
i 鍵 |
|
|
尾數E指數 以科學記號輸入數字。系統會將數字解譯為尾數 × 10指數。 提示:若要輸入 10 的次方卻不要結果是十進位值,請用 10^整數。 附註: 如果要從電腦鍵盤插入本運算子,可輸入 @E。例如輸入 2.3@E4 即可得到 2.3E4。 |
|
|
1 鍵 |
|
|
列表1gÞ列表 矩陣1gÞ矩陣 本函數讓您在度數角或弧度角模式下指定梯度角。 若是弧度角模式,則將 運算式1 乘以 p/200。 若是度數角模式,則將 運算式1 乘以 g/100。 若是梯度角模式,則傳回 運算式1 不變。 附註: 如果要從電腦鍵盤插入本符號,可輸入 @g。 |
度數角、梯度角或弧度角模式:
|
|
1 鍵 |
|
|
列表1RÞ列表 矩陣1RÞ矩陣 本函數讓您在度數角或梯度角模式下指定弧度角。 若是度數角模式,則將引數乘以 180/p。 若是弧度角模式,則傳回引數不變。 若是梯度角模式,則將引數乘以 200/p。 提示:若無論使用函數時所處模式為何,都要在函數定義中強迫採用弧度角,請用 R。 附註: 如果要從電腦鍵盤插入本符號,可輸入 @r。 |
度數角、梯度角或弧度角模式:
|
|
1 鍵 |
|
|
列表1¡Þ列表 矩陣1¡Þ矩陣 本函數讓您在梯度角或弧度角模式下指定度數角。 若是弧度角模式,則將引數乘以 p/180。 若是度數角模式,則傳回引數不變。 若是梯度角模式,則將引數乘以 10/9。 附註: 如果要從電腦鍵盤插入本符號,可輸入 @d。 |
度數角、梯度角或弧度角模式:
弧度角模式:
|
|
/k 鍵 |
|||||||
|
dd¡mm'ss.ss''Þ運算式 dd正數或負數 mm不可是負數 ss.ss不可是負數 傳回 dd+(mm/60)+(ss.ss/3600)。 這個 ‑60 進位輸入格式有以下功能:
附註: ss.ss 後面接的是兩個單引號(''),而非雙引號(")。 |
度數角模式:
|
|
/k 鍵 |
|
|
[弧度,±q_角度]Þ向量 (極座標輸入) [弧度,±q_角度,Z_座標]Þ向量 (圓柱座標輸入) [弧度,±q_角度,±q_角度]Þ向量 (球面座標輸入) 根據直角、圓柱、球面的向量格式模式,傳回向量形式的座標。 附註: 如果要從電腦鍵盤插入本符號,可輸入 @<。 |
在弧度角模式將向量格式設定成: 直角
圓柱
球面
|
|
(量 ± 角度)Þ複數值 (極座標輸入) 以 (r±q) 極座標形式輸入複數值。系統會以目前的角度模式設定解譯角度。 |
弧度角模式與直角複數格式:
|
|
請參考 °ß空元素°®,這裡。 |
|
|
|
|
|
目錄 > |
|
|
10^ (值1)Þ值 10^ (列表1)Þ列表 傳回以 10 為底,以引數為冪的指數值。 若是列表,則傳回以 10 為底,以列表1 中各元素為冪的指數值。 |
|
|
10^(方陣1)Þ方陣 傳回以 10 為底,以方陣1 為冪的指數值。這和計算以 10 為底、以各元素為冪的指數值不同。若要了解計算方式,請參考 cos()。 方陣1 必需可對角化。結果一定會包含浮點數。 |
|
|
目錄 > |
|
|
列表1 ^/Þ列表 傳回引數的倒數。 若是列表,則傳回列表1 中各元素的倒數。 |
|
|
方陣1 ^/Þ方陣 傳回方陣1 的反矩陣。 方陣1 不得是奇異方陣。 |
|
|
/k 鍵 |
||||||||||
|
運算式 | 布林運算式1 [ 運算式 | 布林運算式1 [ (「|」)符號可充當二元運算子。 | 左邊的運算元是運算式。 | 右邊的運算元可用於指定一個以上的關係,目的是決定運算式的化簡方法。 | 後的多種關係必須由「 約束運算子提供三種基本功能:
|
|
|||||||||
|
代換的形式是等式,例如 x=3 或 y=sin(x)。 為提高效果,左側應該是簡單變數。 Expr | 變數 = 值:將值代入 Expr 中的每個變數。 |
|
|||||||||
|
區間約束的形式為「and」 or 「or」邏輯運算子連接的一個以上不等式。 用其他方式可能化簡無效或無法計算時,區間約束法也能加以化簡。 |
|
|||||||||
|
排除功能會以「不等於」(/= 或 ƒ)關係運算子,在計算期間排除特定值。 |
|
/h 鍵 |
|
|
列表 & Var 矩陣 & Var Expr & 函數(Param1,...) 列表 & 函數(Param1,...)
若 Var 變數不存在,則自動建立並賦予初值,以成為值、列表或矩陣。 若 Var 變數已經存在,而且並未遭到鎖定或保護,則以值、列表或矩陣取代其值。 附註: 如果要從鍵盤插入本運算子,可輸入 =:當作快速鍵。例如輸入 pi/4 =: myvar。 |
|
|
/t 鍵 |
|
|
Var := 列表 Var := 矩陣 函數(Param1,...):= Expr 函數(Param1,...):= 列表 函數(Param1,...):= 矩陣 若 Var 變數不存在,則自動建立 Var 並賦予初值,以成為值、列表或矩陣。 若 Var 已經存在,而且並未遭到鎖定或保護,則以值、列表或矩陣取代其值。 |
|
|
/k 鍵 |
|
|
© [文字] © 符號可將文字視為註釋行處理,讓您為自己建立的函數和程式加上註釋。 © 可放在指令行開頭或任何位置。c 符號右邊到行尾的所有內容都是註解。 輸入 範例的注意事項: 關於輸入多行程式和函數定義的說明,請參閱產品手冊中的「計算工具」章節。 |
|
|
0B 鍵、0H 鍵 |
|
|
0b 二進位數字 0h 十六進位數字 分別代表二進位和十六進位數字。若要輸入二進位或十六進位數字,無論使用哪種基底模式,前面一定要輸入 0b 或 0h 字首。如果沒有加上字首,就會把數字視為十進位(以 10 為底)。 所顯示的結果會以基底模式為準。 |
十進位基底模式:
二進位基底模式:
十六進位基底模式:
|

。
