G
|
Katalog > |
|
|
gcd(Value1, Value2)Þuttryck Ger den största gemensamma delaren för de två argumenten. gcd för två bråk är gcd för deras täljare dividerat med lcm för deras nämnare. I läge Auto eller Approximate (Ungefärlig) är gcd 1.0 för bråktal i flyttalsform. |
|
|
gcd(List1, List2)Þlista Ger största gemensamma delare för motsvarande element i List1 och List2. |
|
|
gcd(Matrix1, Matrix2)Þmatris Ger största gemensamma delare för motsvarande element i Matrix1 och Matrix2. |
|
|
Katalog > |
|
|
geomCdf(p,lowBound,upBound)Þtal om lowBound och upBound är tal, lista om lowBound och upBound är listor geomCdf(p,upBound)för P(1{X{upBound)Þtal om upBound är ett tal, lista om upBound är en lista Beräknar en kumulativ geometrisk sannolikhet från lowBound till upBound med den specificerade sannolikheten p för att lyckas. För P(X { upBound), sätt lowBound = 1. |
|
|
Katalog > |
|
|
geomPdf(p,XVal)Þtal om XVal är ett tal, lista om XVal är en lista Beräknar en sannolikhet vid XVal, vid vilket försök i försöksomgången som man lyckas första gången, för den diskreta geometriska fördelningen med den specificerade sannolikheten p för att lyckas. |
|
|
Hubb-meny |
|||||||
|
Programmeringskommando: Hämtar ett värde från en ansluten TI-Innovator™ Hub och tilldelar värdet till variabeln var. Värdet måste begäras:
— eller —
Implicit förenkling äger rum. Till exempel tolkas en mottagen sträng ”123” som ett numeriskt värde. För att bevara strängen, använd GetStr istället för Get. |
Exempel: Begär nuvarande värde från hubbens inbyggda ljusnivåsensor. Använd Get för att hämta värdet och tilldela det till variabeln lightval.
Bädda in READ-begäran i Get-kommandot.
|
||||||
|
Om du inkluderar det valfria argumentet statusVar, tilldelas det ett värde baserat på om operationen har lyckats. Värdet noll betyder att inga data mottogs. |
|
||||||
|
I den andra syntaxen kan ett program använda argumentet func() för att lagra den mottagna strängen som en funktionsdefinition. Denna syntax fungerar som om programmet exekverade kommandot: Define func(arg1, ...argn) = received string Programmet kan sedan använda den definierade funktionen func(). Obs: Du kan använda kommandot Get i ett användardefinierat program, men inte i en funktion. |
|
Katalog > |
|
|
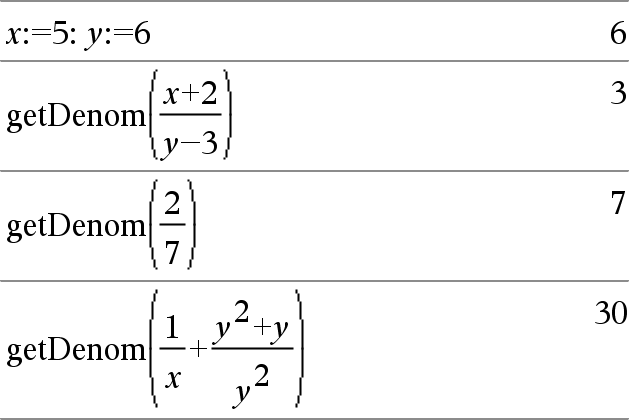
getDenom(Fraction1)Þvärde Transformerar argumentet till ett uttryck med reducerad gemensam nämnare och ger sedan dess nämnare. |
|
|
Katalog > |
|||||||
|
getKey([0|1]) ⇒ returnString Beskrivning:getKey() – låter ett TI-Basic-program tolka tangentbordsinmatning – på handenhet, dator och emulator på dator. Exempel:
|
Exempel:
|
Hantering av tangentnedtryckningar:
|
Handhållen enhet/emulatortangent |
Desktop (dator) |
Returvärde |
|---|---|---|
|
Esc |
Esc |
"esc" |
|
Pekplatta - toppklick |
Ej tillämpligt |
"up" |
|
På |
Ej tillämpligt |
"home" |
|
|
|
|
|
Scratchapps |
Ej tillämpligt |
"scratchpad" |
|
Pekplatta - vänsterklick |
Ej tillämpligt |
"left" |
|
Pekplatta - mittklick |
Ej tillämpligt |
"center" |
|
Pekplatta - högerklick |
Ej tillämpligt |
"right" |
|
Doc |
Ej tillämpligt |
"doc" |
|
|
|
|
|
Tab |
Tab |
"tab" |
|
Pekplatta – nederklick |
Pil ned |
"down" |
|
Meny |
Ej tillämpligt |
"menu" |
|
|
|
|
|
Ctrl |
Ctrl |
ej retur |
|
Skift |
Skift |
ej retur |
|
Var |
Ej tillämpligt |
"var" |
|
Radera |
Ej tillämpligt |
"del" |
|
|
|
|
|
= |
= |
"=" |
|
trig |
Ej tillämpligt |
"trig" |
|
0 till 9 |
0–9 |
"0" ... "9" |
|
Mallar |
Ej tillämpligt |
"template" |
|
Katalog |
Ej tillämpligt |
"cat" |
|
|
|
|
|
^ |
^ |
"^" |
|
X^2 |
Ej tillämpligt |
"square" |
|
/ (divisionstangent) |
/ |
"/" |
|
* (multiplikationstangent) |
* |
"*" |
|
e^x |
Ej tillämpligt |
"exp" |
|
10^x |
Ej tillämpligt |
"10power" |
|
+ |
+ |
"+" |
|
- |
- |
"-" |
|
|
|
|
|
( |
( |
"(" |
|
) |
) |
")" |
|
. |
. |
"." |
|
(-) |
Ej tillämpligt |
"-" (negativt tecken) |
|
Mata in |
Mata in |
"enter" |
|
|
|
|
|
ee |
Ej tillämpligt |
"E" (grundpotensform) |
|
a - z |
a-z |
alpha = bokstav nedtryckt (gemen) ("a" - "z") |
|
shift a-z |
shift a-z |
alpha = bokstav nedtryckt "A" - "Z" |
|
|
|
Obs: ctrl-shift låser versaler (caps) |
|
?! |
Ej tillämpligt |
"?!" |
|
|
|
|
|
pi |
Ej tillämpligt |
"pi" |
|
Flagga |
Ej tillämpligt |
ej retur |
|
|
|
|
|
, |
, |
"," |
|
Retur |
Ej tillämpligt |
"return" |
|
Mellanslag |
Mellanslag |
" " (mellanslag) |
|
|
|
|
|
Ej tillgänglig |
Specialtecken såsom @,!,^, etc. |
Tecknet returneras |
|
Ej tillämpligt |
Funktionstangenter |
Inga returnerade tecken |
|
Ej tillämpligt |
Specialkontrolltangenter för dator |
Inga returnerade tecken |
|
Ej tillgänglig |
Andra datortangenter som inte finns tillgängliga på handenheten medan getkey() väntar på en tangentnedtryckning. ({, },;, :, ...) |
Samma tecken du får i Anteckningar (inte i en matematikruta) |
Obs: Det är viktigt att observera att närvaron av getKey() i ett program ändrar hur systemet hanterar vissa händelser. Vissa av dessa beskrivs nedan.
Avsluta program och hantera händelse – Precis som om användaren vill lämna programmet genom att trycka på tangenten ON
"Support" nedan innebär – Systemet fungerar som förväntat - programmet fortsätter att köras.
|
Händelse |
Enhet |
Dator – TI-Nspire™ Student Software |
|---|---|---|
|
Snabbtest |
Avsluta program, hantera händelse |
Samma som handenhet ( |
|
Hantering av fjärrfil
(Inkl. utskick av fil "Exit Press 2 Test" från en annan handenhet eller dator) |
Avsluta program, hantera händelse |
Samma som handenhet. ( |
|
Avsluta klass |
Avsluta program, hantera händelse |
Support ( |
|
Händelse |
Enhet |
Dator - TI-Nspire™ Alla versioner |
|
|
Support – Kan enkelt utfärda kommandon till |
Samma som handenheten |
|
Katalog > |
|
|
getLangInfo()Þsträng Ger en sträng som motsvarar det korta namnet på det aktuella aktiva språket. Du kan exempelvis använda den i ett program eller i en funktion för att bestämma det aktuella språket. Engelska = “en” |
|
|
Katalog > |
|
|
Ger den aktuella låsta/olåsta statusen för variabeln Var. värde = 0: Var är olåst eller finns inte. värde = 1: Var är låst och kan inte modifieras eller tas bort. |
|
|
Katalog > |
|
|
getMode(ModeNameInteger)Þvärde getMode(0)Þlista getMode(ModeNameInteger) ger ett värde som representerar den aktuella lägesinställningen för ModeNameInteger. getMode(0) ger en lista på talpar. Varje par består av ett lägesheltal och ett inställningsheltal. Se nedan för en lista på lägen och deras inställningar. Om du sparar inställningarna med getMode(0) & var kan du använda setMode(var) i en funktion eller ett program för att temporärt återställa inställningarna endast inom exekveringen av funktionen eller programmet. Se setMode(), här. |
|
|
Lägets namn |
Läges- heltal |
Heltal för inställningar |
|
Display Digits (Antal siffror) |
1 |
1=Float, 2=Float1, 3=Float2, 4=Float3, 5=Float4, 6=Float5, 7=Float6, 8=Float7, 9=Float8, 10=Float9, 11=Float10, 12=Float11, 13=Float12, 14=Fix0, 15=Fix1, 16=Fix2, 17=Fix3, 18=Fix4, 19=Fix5, 20=Fix6, 21=Fix7, 22=Fix8, 23=Fix9, 24=Fix10, 25=Fix11, 26=Fix12 |
|
Angle (Vinkel) |
2 |
1=Radian, 2=Degree, 3=Gradian |
|
Exponential Format (Exponentiellt format) |
3 |
1=Normal, 2=Scientific, 3=Engineering |
|
Real or Complex (Reellt eller Komplext) |
4 |
1=Real, 2=Rectangular, 3=Polar |
|
Auto or Approx. (Auto eller Ungefärlig) |
5 |
1=Auto, 2=Approximate |
|
Vector Format (Vektorformat) |
6 |
1=Rectangular, 2=Cylindrical, 3=Spherical |
|
Base (Bas) |
7 |
1=Decimal, 2=Hex, 3=Binary |
|
Katalog > |
|
|
getNum(Fraction1)Þvärde Transformerar argumentet till ett uttryck med reducerad gemensam nämnare och ger sedan dess täljare. |
|
|
Hubb-meny |
|
|
Programmeringskommando: Fungerar precis som kommandot Get, förutom att det mottagna värdet alltid tolkas som en sträng. I motsats tolkar kommandot Get svaret som ett uttryck såvida det inte är omgivet av citationstecken (""). |
Se Get för exempel. |
|
Katalog > |
|
|
Ger en sträng som anger datatypen för variabeln var. Om var inte har definierats erhålls strängen "NONE". |
|
|
Katalog > |
|
|
getVarInfo()Þmatris eller sträng getVarInfo(LibNameString)Þmatris eller sträng getVarInfo() ger en matris med information (variabelnamn, typ, åtkomlighet till bibliotek och låst/olåst status) för alla variabler och biblioteksobjekt som är definierade i det aktuella problemet. Om inga variabler är definierade ger getVarInfo() strängen "NONE". getVarInfo(LibNameString)ger en matris med information för alla biblioteksobjekt som är definierade i biblioteket LibNameString. LibNameString måste vara en sträng (text omsluten med citationstecken) eller en strängvariabel. Om biblioteket LibNameString inte finns uppstår ett fel. |
|
|
Se exemplet till vänster där resultatet av getVarInfo() tilldelas variabeln vs. Ett försök att visa rad 2 eller rad 3 av vs ger ett “Ogiltig lista eller matris”-fel eftersom minst ett av elementen i dessa rader (till exempel, variabel b) omvärderas till en matris. Detta fel kan också inträffa när Ans används för att utvärdera ett getVarInfo()-resultat på nytt. Systemet ger ovanstående fel eftersom den aktuella versionen av programvaran inte stöder en generaliserad matrisstruktur där ett element i en matris kan vara antingen en matris eller en lista. |
|
|
Katalog > |
|
|
Goto labelName Överför kontroll till etiketten labelName. labelName måste definieras i samma funktion med en Lbl-instruktion. Obs för att mata in exemplet: Se avsnittet Räknare i produkthandboken för instruktioner om hur du anger multiline-program och funktionsdefinitioner. |
|
|
Katalog > |
|
|
Expr1 4 GradÞuttryck Konverterar Expr1 till en vinkelmätning i nygrader. Obs: Du kan infoga denna operator med datorns tangentbord genom att skriva @>Grad. |
I vinkelläget Grader:
I vinkelläget Radianer:
|
