D

dbd()

dbd(datum1,datum2)Þwaarde

Geeft het aantal dagen tussen datum1 en datum2 met behulp van de actuele-dag-telmethode.

datum1 en datum2 kunnen getallen of lijsten met getallen zijn binnen het bereik van de datums op de standaard kalender. Als zowel datum1 als datum2 lijsten zijn, dan moeten deze dezelfde lengte hebben.

datum1 en datum2 moeten tussen de jaren 1950 tot en met 2049 liggen.

U kunt de datums in twee notaties invoeren. De plaatsing van de decimale punt onderscheidt de datumnotaties.

MM.DDJJ (algemeen gebruikte notatie in de Verenigde Staten)

DDMM.JJ (algemeen gebruikte notatie in Europa)

4DD

Uitdr1 4DDÞwaarde

Lijst1 4DDÞlijst

Matrix1 4DDÞmatrix

Opmerking: u kunt deze operator vanaf het toetsenbord van de computer invoeren door @>DD in te typen.

Geeft het decimale equivalent van het argument, uitgedrukt in graden. Het argument is een getal, lijst of matrix die op basis van de hoekmodus-instelling geïnterpreteerd wordt als decimale graden, radialen of graden.

In de hoekmodus Graden:

 

In de hoekmodus Decimale graden:

 

In de hoekmodus Radialen:

4Decimal

Getal1 4DecimalÞwaarde

Lijst1 4DecimalÞwaarde

Matrix1 4DecimalÞwaarde

Opmerking: u kunt deze operator vanaf het toetsenbord van de computer invoeren door @>Decimal in te typen.

Geeft het argument in decimale vorm weer. Deze operator kan alleen op het eind van de invoerregel gebruikt worden.

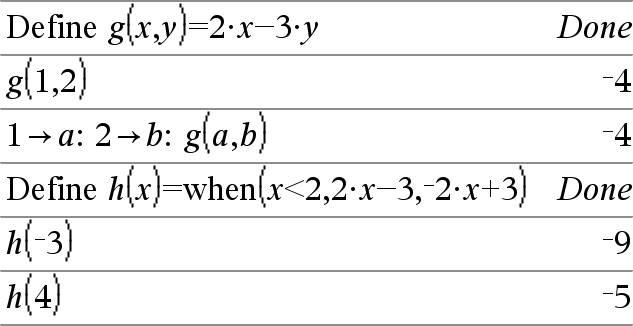
Define (Definiëren)

Define Var = Uitdrukking

Define Functie(Param1, Param2, ...) = Uitdrukking

Definieert de variabele Var of de door de gebruiker gedefinieerde functie Functie.

Parameters, zoals Param1, vormen de plaats voor het doorgeven van argumenten aan de functie. Bij het oproepen van een door de gebruiker gedefinieerde functie moet u argumenten opgeven (bijvoorbeeld waarden of variabelen) die overeenkomen met de parameters. De functie werkt, wanneer deze wordt aangeroepen, Uitdrukking uit met de opgegeven argumenten.

Var en Functie kunnen niet de naam van een systeemvariabele of van een ingebouwde functie of commando zijn.

Opmerking: deze vorm van Define staat gelijk aan het uitvoeren van de uitdrukking: uitdrukking & Functie(Param1,Param2).

 

Define Functie(Param1, Param2, ...) = Func
Blok
EndFunc

Define Programma(Param1, Param2, ...) = Prgm
Blok
EndPrgm

In deze vorm kan de door de gebruiker gedefinieerde functie of programma een blok van meerdere beweringen uitvoeren.

Blok kan zowel een enkele bewering als een serie beweringen op aparte regels zijn. Blok kan ook uitdrukkingen en instructies (zoals If, Then, Else en For) bevatten.

Opmerking bij het invoeren van het voorbeeld: Instructies over het invoeren van programma's met meerdere regels en functiedefinities vindt u in het hoofdstuk Rekenmachine van de handleiding van uw product.

Opmerking: Zie ook Define LibPriv, hier en Define LibPub, hier.

 

Define LibPriv

Define LibPriv Var = Uitdrukking

Define LibPriv Functie(Param1, Param2, ...) = Uitdrukking

Define LibPriv Functie(Param1, Param2, ...) = Func
Blok
EndFunc

Define LibPriv Programma(Param1, Param2, ...) = Prgm
Blok
EndPrgm

Werkt hetzelfde als Define, behalve dat er een persoonlijke bibliotheekvariabele, -functie of -programma wordt gecreëerd. Persoonlijke functies en programma's verschijnen niet in de Catalogus.

Opmerking: Zie ook Define, hier en Define LibPub, hier.

 

Define LibPub

Define LibPub Var = Uitdrukking

Define LibPub Functie(Param1, Param2, ...) = Uitdrukking

Define LibPub Functie(Param1, Param2, ...) = Func
Blok
EndFunc

Define LibPub Programma(Param1, Param2, ...) = Prgm
Blok
EndPrgm

Werkt hetzelfde als Define, behalve dat er een openbare bibliotheekvariabele, -functie of -programma wordt gecreëerd. Openbare functies en programma verschijnen in de Catalogus nadat de bibliotheek is opgeslagen en vernieuwd.

Opmerking: Zie ook Define, hier en Define LibPriv, hier.

 

deltaList()

 

 

 

 

DelVar

DelVar Var1[, Var2] [, Var3] ...

DelVar Var.

Wist de gespecificeerde variabele of variabelegroep uit het geheugen.

Als een aantal van de variabelen vergrendeld is, veroorzaakt deze opdracht een foutmelding en worden alleen de niet-vergrendelde variabelen gewist. Zie unLock, hier.

DelVar Var. wist alle leden van de variabelegroep Var. (zoals de statistische stat.nn-resultaten of variabelen die gecreëerd zijn met de LibShortcut()-functie). De punt (.) in deze vorm van het commando DelVar beperkt dit tot het wissen van een variabelegroep; de enkelvoudige variabele Var wordt niet gewist.

delVoid()

delVoid(Lijst1)Þlijst

Geeft een lijst met de inhoud van Lijst1 waaruit alle lege elementen verwijderd zijn.

Zie voor meer informatie over lege elementen hier.

det()

det(vierkanteMatrix[, Tolerantie])Þuitdrukking

Geeft de determinant van vierkanteMatrix.

Optioneel wordt elk matrixelement behandeld als nul als de absolute waarde ervan minder dan Tolerantie is. Deze tolerantie wordt alleen gebruikt als de matrix gegevens met een drijvende komma heeft, en geen symbolische variabelen bevat die geen waarde toegekend hebben gekregen. Anders wordt Tolerantie genegeerd.

Als u /· gebruikt of de modus Automatisch of Benaderend instelt op Benaderend, dan worden berekeningen met behulp van de drijvende komma uitgevoerd.
Als Tolerantie wordt weggelaten of niet wordt gebruikt, dan wordt de standaardtolerantie berekend als:

5EM14 ·max(dim(vierkanteMatrix))·
rowNorm(vierkanteMatrix)

diag()

diag(Lijst)Þmatrix

diag(rijMatrix)Þmatrix

diag(kolomMatrix)Þmatrix

Geeft een matrix met de waarden in de argumentenlijst of de argumentenmatrix op zijn hoofddiagonaal.

diag(vierkanteMatrix)ÞrijMatrix

Geeft een rijmatrix met de elementen uit de hoofddiagonaal van vierkanteMatrix.

vierkanteMatrix moet vierkant zijn.

dim()

dim(Lijst)Þgeheel getal

Geeft de afmeting van Lijst.

dim(Matrix)Þlijst

Geeft de afmetingen van matrix als een lijst met twee elementen {rijen, kolommen}.

dim(String)Þgeheel getal

Geeft het aantal tekens in de tekenreeks String.

Disp

Disp uitdrOfString1 [, uitdrOfString2] ...

Geeft de argumenten in de geschiedenis van de Rekenmachine. De argumenten worden achter elkaar weergegeven, met smalle spaties als scheiding.

Vooral handig in programma's en functies om de weergave van tussenberekeningen te verzekeren.

Opmerking bij het invoeren van het voorbeeld: Instructies over het invoeren van programma's met meerdere regels en functiedefinities vindt u in het hoofdstuk Rekenmachine van de handleiding van uw product.

DispAt

DispAt int,expr1 [,expr2 ...] ...

DispAt stelt u in staat de regel op te geven waarin de gespecificeerde uitdrukking of string op het scherm zal worden weergegeven.

Het regelnummer kan worden opgegeven als een uitdrukking.

Let op: het regelnummer geldt niet voor het gehele scherm, maar voor het gedeelte dat direct volgt op de instructie /het programma.

Deze instructie maakt dashboard-achtige uitvoer mogelijk van programma’s waarbij de waarde van een uitdrukking of van een sensor-uitlezing op dezelfde regel wordt bijgewerkt.

DispAten Disp kunnen binnen hetzelfde programma worden gebruikt.

Opmerking: Het maximale aantal is ingesteld op 8, aangezien dit overeenkomt met een scherm vol met regels op het rekenmachinescherm - zo lang de regels maar geen 2D wiskundige uitdrukkingen bevatten. Het exacte aantal regels is afhankelijk van de inhoud van de weergegeven informatie.


Voorbeeld

 

 

Illustratieve voorbeelden:

Define z()=

Prgm

For n,1,3

DispAt 1,"N: ",n

Disp "Hallo"

EndFor

EndPrgm

Uitvoer

z()

Iteratie 1:

Regel 1: N:1

Regel 2: Hallo

 

Iteratie 2:

Regel 1: N:2

Regel 2: Hallo

Regel 3: Hallo

 

Iteratie 3:

Regel 1: N:3

Regel 2: Hallo

Regel 3: Hallo

Regel 4: Hallo

Define z1()=

Prgm

For n,1,3

DispAt 1,"N: ",n

EndFor

 

For n,1,4

Disp "Hallo"

EndFor

EndPrgm

z1()

Regel 1: N:3

Regel 2: Hallo

Regel 3: Hallo

Regel 4: Hallo

Regel 5: Hallo

 

Foutmeldingen:

Foutbericht

Beschrijving

Het DispAt regelnummer moet tussen de 1 en 8 liggen

Uitdrukking beoordeelt het Regelnummer buiten het bereik van 1-8 (inclusief 8)

Te weinig argumenten

In de functie of instructie ontbreken één of meer argumenten.

Geen argumenten

Hetzelfde als huidige 'syntax error' dialoog

Te veel argumenten

Beperk argument. Dezelfde error als Disp.

Ongeldig gegevenstype

Eerste argument moet een getal zijn.

Leeg: DispAt leeg

De "Hello World"-gegevenstypefout wordt gegeven voor "void" (indien 'terugbellen' is gedefinieerd)

4DMS

Waarde 4DMS

Lijst 4DMS

Matrix 4DMS

Opmerking: u kunt deze operator vanaf het toetsenbord van de computer invoeren door @>DMS in te typen.

Interpreteert het argument als een hoek en geeft de equivalente DMS (DDDDDD¡MM'SS.ss'')-waarde weer. Zie ¡, ', '' (hier) voor de DMS (graden, minuten, seconden)-notatie.

Opmerking: 4DMS converteert van radialen naar graden als hij wordt gebruikt in de radialenmodus. Als de invoer gevolgd wordt door een gradensymbool ¡, treedt er geen conversie op. U kunt 4DMS alleen op het eind van een invoerregel gebruiken.

In de hoekmodus Graden:

dotP()

dotP(Lijst1, Lijst2)Þuitdrukking

Geeft het inwendige product van twee lijsten.

dotP(Vector1, Vector2)Þuitdrukking

Geeft het inwendige product van twee vectoren.

Beide moeten rijvectoren zijn, of beide moeten kolomvectoren zijn.