Uitdrukkingstemplates

Uitdrukkingstemplates bieden u een makkelijke manier om wiskundige uitdrukkingen in standaard wiskundige notatie in te voeren. Wanneer u een template invoegt, verschijnt deze op de invoerregel met kleine blokjes op de posities waarop u elementen kunt invoeren. Een cursor geeft aan welk element u kunt invoeren.

Gebruik de pijltoetsen of druk op e om de cursor te verplaatsen naar de positie van elk element, en typ een waarde of uitdrukking voor het element in. Druk op · of om de uitdrukking uit te werken.

Breukentemplate

Opmerking: zie ook / (delen), hier.

Voorbeeld:

Exponent-template

Opmerking: typ de eerste waarde, typ op l en typ dan de exponent. Om de cursor terug te brengen naar de basisregel drukt u op de pijl naar rechts (¢).

Opmerking: zie ook ^ (macht), hier.

Voorbeeld:

Worteltemplate

Opmerking: zie ook () (wortel), hier.

Voorbeeld:

N-de wortel-template

Opmerking: zie ook wortel (), hier.

Voorbeeld:

e-macht-template

Het getal e verheven tot een macht

Opmerking: zie ook e^(), hier.

Voorbeeld:

Log-template

Berekent de log ten opzichte van een gespecificeerd grondtal. Voor het standaard grondtal 10 laat u het grondtal weg.

Opmerking: zie ook log(), hier.

Voorbeeld:

Template voor stuksgewijs gedefinieerde functies (2-stuks)

Hiermee kunt u uitdrukkingen en condities voor een in twee stukken‑ stuksgewijs gedefinieerde functie creëren. Om een stuk toe te voegen klikt u in de template en herhaalt u de template.

Opmerking: zie ook piecewise(), hier.

Voorbeeld:

Template voor stuksgewijs gedefinieerde functies (N-stuks)

Hiermee kunt u uitdrukkingen en condities voor een ‑stuksgewijs gedefinieerde functie in N stukken creëren. Vraagt om N.

Opmerking: zie ook piecewise(), hier.

Voorbeeld:

Zie het voorbeeld bij Template voor stuksgewijs gedefinieerde functies (2-stuks).

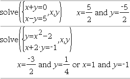
Stelsel van 2 vergelijkingen-template

Creëert een stelsel van twee lineaire vergelijkingen. Om een rij toe te voegen aan een bestaand stelsel, klikt u in de template en herhaalt u de template.

Opmerking: zie ook system(), hier.

Voorbeeld:

Stelsel van N vergelijkingen-template

Hiermee kunt u een stelsel van Nlineaire vergelijkingen creëren. Vraagt om N.

Opmerking: zie ook system(), hier.

Voorbeeld:

Zie het voorbeeld bij Stelsel van vergelijkingen-template (2 vergelijkingen).

Absolute waarde-template

Opmerking: zie ook abs(), hier.

Voorbeeld:

dd°mm’ss.ss’’ template

 

Hiermee kunt u hoeken in dd°mmss.ss’’-opmaak invoeren, waarbij dd het aantal decimale graden, mm het aantal minuten en ss.ss het aantal seconden is.

Voorbeeld:

Matrixtemplate (2 x 2)

Creëert een 2 x 2 matrix.

Voorbeeld:

Matrixtemplate (1 x 2)

.

Voorbeeld:

Matrixtemplate (2 x 1)

Voorbeeld:

Matrixtemplate (m x n)

De template verschijnt nadat u het aantal rijen en kolommen heeft ingevoerd.

Opmerking: als u een matrix creëert met een groot aantal rijen en kolommen, kan het even duren voordat deze verschijnt.

Voorbeeld:

Somtemplate (G)

Opmerking: zie ook G() (sumSeq), hier.

Voorbeeld:

Product-template (P)

Opmerking: zie ook P() (prodSeq), hier.

Voorbeeld:

Eerste afgeleide-template

De eerste afgeleide-template kan worden gebruikt om de eerste afgeleide in een punt numeriek te berekenen, met behulp van automatische differentiatiemethoden.

Opmerking: zie ook d() (afgeleide), hier.

Voorbeeld:

Tweede afgeleide-template

De tweede afgeleide-template kan worden gebruikt om de tweede afgeleide in een punt numeriek te berekenen, met behulp van automatische differentiatiemethoden.

Opmerking: zie ook d() (afgeleide), hier.

Voorbeeld:

Bepaalde integraal-template

De bepaalde integraal-template kan worden gebruikt om de bepaalde integraal numeriek te berekenen, met dezelfde methode als nInt().

Opmerking: zie ook nInt(), hier.

Voorbeeld: