G
|
Katalogi > |
|
|
gcd(Arvo1, Arvo2)Þlauseke Laskee kahden argumentin suurimman yhteisen jakajan. Kahden murtoluvun gcd on niiden osoittajien gcd jaettuna nimittäjien lcm:llä. Auto or Approximate (Automaattinen tai likimääräinen) -tilassa murtoluvun liukulukujen gcd on 1.0. |
|
|
gcd(Lista1, Lista2)Þlista Laskee Lista1:n ja Lista2:n toisiaan vastaavien elementtien suurimmat yhteiset jakajat. |
|
|
gcd(Matriisi1, Matriisi2)Þmatriisi Laskee Matriisi1 :n ja Matriisi2:n toisiaan vastaavien elementtien suurimmat yhteiset jakajat. |
|
|
Katalogi > |
|
|
geomCdf(p,alaraja,yläraja)Þluku, jos alaraja ja yläraja ovat lukuja, lista, jos alaraja ja yläraja ovat listoja geomCdf(p,yläraja)kun P(1{X{yläraja)Þluku, jos yläraja on luku, lista, jos yläraja on lista Laskee kumulatiivisen geometrisen todennäköisyyden alarajalta ylärajalle määritetyllä onnistumistodennäköisyydellä p. Kun P(X { yläraja), aseta alaraja = 1. |
|
|
Katalogi > |
|
|
geomPdf(p,XArvo)Þluku, jos XArvo on luku, lista, jos XArvo on lista Laskee diskreetin jakauman todennäköisyyden XArvo:n, eli ensimmäisen onnistuneen kokeen järjestysnumeron kohdalla, määritetyllä onnistumistodennäköisyyllä p. |
|
|
Laitevalikko |
|||||||
|
Ohjelmointikomento: Noutaa arvon liitetystä TI-Innovator™ Hub ja sijoittaa arvon muuttujaan var. Arvo täytyy kysyä:
— tai —
Tapahtuu implisiittinen yksinkertaistus. Esimerkiksi vastaanotettu merkkijono "123" tulkitaan numeeriseksi arvoksi. Säilyttääksesi merkkijonon käytä toimintoa GetStr toiminnon Get sijaan. |
Esimerkki: Kysy laitteen sisäänrakennetun valaistusanturin tämänhetkinen arvo. Käytä komentoa Get noutaaksesi arvon ja sijoittaaksesi se muuttujaan lightval.
Upota READ-kysely komentoon Get.
|
||||||
|
Jos sisällytät valinnaisen argumentin statusVar, sille määrätään arvo toimenpiteen onnistumisen perusteella. Arvo nolla merkitsee, ettei tietoa ole vastaanotettu. |
|
||||||
|
Järjestyksessä toisessa syntaksissa func()-argumentti sallii ohjelman tallentaa vastaanotetun merkkijonon funktiomääritelmänä. Tämä syntaksi toimii ikään kuin ohjelma suorittaisi komennon: Määrittele func(arg1, ...argn) = vastaanotettu merkkijono Sen jälkeen ohjelma voi käyttää määriteltyä funktiota func(). Huomio: Komentoa Get voi käyttää käyttäjän määrittelemän ohjelman sisällä, mutta ei funktion sisällä. |
|
Katalogi > |
|
|
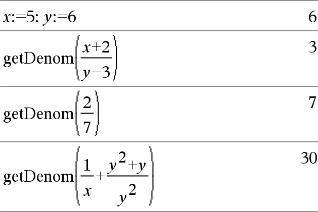
getDenom(Murtoluku1)Þarvo Muuttaa argumentin lausekkeeksi, jolla on sievennetty yhteinen nimittäjä, ja laskee sen jälkeen lausekkeen nimittäjän. |
|
|
Katalogi > |
|||||||
|
getKey([0|1]) ⇒ returnString Kuvaus:getKey() – mahdollistaa TI-Basic -ohjelmalle näppäimistön – kannettava laite, pöytätietokone ja emulaattori pöytätietokoneella. Esimerkki:
|
Esimerkki:
|
Näppäimen pitäminen painettuna:
|
Kannettava laite/Emulaattorinäppäin |
Pöytätietokone |
Palauta arvo |
|---|---|---|
|
Esc |
Esc |
"esc" |
|
Kosketuslevy – Yläpainallus |
N/A |
"ylös" |
|
Päällä |
N/A |
"päävalikko" |
|
|
|
|
|
Scratchapps |
N/A |
muistilehtiö |
|
Kosketuslevy – Vasen painallus |
N/A |
"vasen" |
|
Kosketuslevy – Keskipainallus |
N/A |
"keskus" |
|
Kosketuslevy – Oikea painallus |
N/A |
"oikea" |
|
Doc |
N/A |
"doc" |
|
|
|
|
|
Tabulaattori |
Tabulaattori |
"Tabulaattori" |
|
Kosketuslevy – Alapainallus |
Nuoli alaspäin |
"alas" |
|
Päävalikko |
N/A |
"päävalikko" |
|
|
|
|
|
Ctrl |
Ctrl |
ei palautusta |
|
Vaihto |
Vaihto |
ei palautusta |
|
Var |
N/A |
"var" |
|
Poista |
N/A |
"poista" |
|
|
|
|
|
= |
= |
"=" |
|
Trigonometria |
N/A |
Trigonometria |
|
0:sta 9:ään |
0-9 |
"0" ... 9 |
|
Sapluunat |
N/A |
"sapluuna" |
|
Lista |
N/A |
"lista" |
|
|
|
|
|
^ |
^ |
"^" |
|
X^2 |
N/A |
"neliö" |
|
/ (jakonäppäin) |
/ |
"/" |
|
* (kertonäppäin) |
* |
"*" |
|
e^x |
N/A |
"eksponentti" |
|
10^x |
N/A |
"10voima" |
|
+ |
+ |
"+" |
|
- |
- |
"-" |
|
|
|
|
|
( |
( |
"(" |
|
) |
) |
")" |
|
. |
. |
"." |
|
(-) |
N/A |
"-" (negatiivinen merkki) |
|
Syötä |
Syötä |
"syötä" |
|
|
|
|
|
ee |
N/A |
"E" (tieteellinen merkintä E) |
|
a – z |
a–z |
alfa = kirjainmerkki painettu (pieni kirjain) ("a" – "z") |
|
vaihto a–z |
vaihto a–z |
alfa = kirjainmerkki painettu "A" - "Z" |
|
|
|
Huomaa: Ctrl-vaihto lukitsee isot kirjaiment |
|
?! |
N/A |
"?!" |
|
|
|
|
|
pii |
N/A |
"pii" |
|
Lippu |
N/A |
ei palautusta |
|
|
|
|
|
, |
, |
"," |
|
Palautus |
N/A |
Palautus |
|
Välilyönti |
Välilyönti |
Välilyönti |
|
|
|
|
|
Ei pääsyä |
Näppäimet erikoismerkeille, kuten @,!,^, etc. |
Kirjainmerkki on palautettu |
|
N/A |
Toimintonäppäimet |
Kirjainmerkkejä ei ole palautettu |
|
N/A |
Erityiset näytön kontrollinäppäimet |
Kirjainmerkkejä ei ole palautettu |
|
Ei pääsyä |
Muita näytön näppäimiä, jotka eivät ole käytettävissä laskimessa, kun getkey() odottaa näppäimen painallusta. ({, },;, :, ...) |
Sama kirjainmerkki, jonka saat Notesista (ei matemaattisessa kentässä) |
Huomaa: On tärkeää huomata, että ohjelman getKey () läsnäolo muuttaa ohjelmaa tiettyjen tapahtumien käsittelyä. Joitakin näistä kuvataan jäljempänä.
Lopeta ohjelma ja käsittele tapahtuma – aivan kuin jos käyttäjä poistuisi ohjelmasta painamalla ON -näppäintä
"Tuki " jäljempänä tarkoittaa – Järjestelmä toimii odotetusti – ohjelma jatkuu.
|
Tapahtuma |
laite |
Työpöytä – TI-Nspire ™ Ohjelmisto opiskelijoille |
|---|---|---|
|
Pikakysely |
Lopeta ohjelma, käsittele tapahtuma |
Sama kuin kannettava laite ( |
|
Etätiedoston hallinta
(Sisältää lähetyksen "Exit Press 2 Test" -tiedoston toisesta kämmenlaitteesta tai työpöydän kannettavasta laitteesta) |
Lopeta ohjelma, käsittele tapahtuma |
Sama kuin kannettava laite. ( |
|
Lopeta oppitunti |
Lopeta ohjelma, käsittele tapahtuma |
Tuki ( |
|
Tapahtuma |
Laite |
Työpöytä – TI-Nspire ™ Kaikki versiot |
|
|
Tuki – onnistuu komennolla |
Sama kuin kannettava laite |
|
Katalogi > |
|
|
getLangInfo()Þmerkkijono Antaa merkkijonon, joka vastaa parhaillaan käytössä olevan kielen lyhyttä nimeä. Voit käyttää sitä esimerkiksi ohjelmassa tai funktiossa nykyisen kielen määrittämiseen. englanti = “en” |
|
|
Katalogi > |
|
|
Määrittää muuttujan Muutt nykyisen lukittu/lukitsematon-tilan. arvo =0: Muutt on lukitsematon tai sitä ei ole olemassa. arvo =1: Muutt on lukittu eikä sitä voi muuttaa tai poistaa. |
|
|
Katalogi > |
|
|
getMode(TilanNimiKokonaisluku)Þarvo getMode(0)Þlista getMode(TilanNimiKokonaisluku) laskee arvon, joka vastaa TilanNimiKokonaisluku-tilan nykyistä asetusta. getMode(0) laskee listan, joka sisältää lukupareja. Jokainen pari koostuu tilaa kuvaavasta kokonaisluvusta ja asetusta kuvaavasta kokonaisluvusta. Tilat ja niiden asetukset on esitetty alla olevassa taulukossa. Jos tallennat asetukset komennolla getMode(0) & muutt, voit käyttää komentoa setMode(muutt) funktiossa tai ohjelmassa ja tallentaa asetukset näin väliaikaisesti pelkästään funktion tai ohjelman suorituksen ajaksi. Katso setMode(), täältä. |
|
|
Tilan |
Tilaa vastaava |
|
|
Näytettävät numerot |
1 |
1=Liukuva, 2=Liukuva1, 3=Liukuva2, 4=Liukuva3, 5=Liukuva4, 6=Liukuva5, 7=Liukuva6, 8=Liukuva7, 9=Liukuva8, 10=Liukuva9, 11=Liukuva10, 12=Liukuva11, 13=Liukuva12, 14=Kiinteä0, 15=Kiinteä1, 16=Kiinteä2, 17=Kiinteä3, 18=Kiinteä4, 19=Kiinteä5, 20=Kiinteä6, 21=Kiinteä7, 22=Kiinteä8, 23=Kiinteä9, 24=Kiinteä10, 25=Kiinteä11, 26=Kiinteä12 |
|
Kulma |
2 |
1=Radiaani, 2=Aste, 3=Graadi |
|
Eksponenttimuoto |
3 |
1=Normaali, 2=Kymmenpotenssi, 3=Tekninen |
|
Reaali- tai kompleksiluku |
4 |
1=Reaali, 2=Suorakulma, 3=Polaarinen |
|
Automaattinen tai likimääräinen. |
5 |
1=Automaattinen, 2=Likimääräinen |
|
Vektorimuoto |
6 |
1=Suorakulma, 2=Sylinteri, 3=Pallo |
|
Kantaluku |
7 |
1=Desimaali, 2=Heksagonaalinen, 3=Binaarinen |
|
Katalogi > |
|
|
getNum(Murtoluku1)Þarvo Muuttaa argumentin lausekkeeksi, jolla on sievennetty yhteinen nimittäjä, ja laskee sen jälkeen lausekkeen osoittajan. |
|
|
Hub-valikko |
|
|
Ohjelmointikomento: Toimii samalla tavalla kuin Get-komento, mutta vastaanotettu arvo tulkitaan aina merkkijonoksi. Get-komento kuitenkin tulkitsee vastauksen lausekkeeksi, jollei sitä merkitä lainausmerkkien ("") sisään. |
Katso esimerkit kohdasta Get. |
|
Katalogi > |
|
|
Antaa tulokseksi merkkijonon, joka ilmoittaa muuttujan var datatyypin. Jos muuttujaa var ei ole määritelty, tulokseksi tulee merkkijono "EI MITÄÄN". |
|
|
Katalogi > |
|
|
getVarInfo()Þmatriisi tai merkkijono getVarInfo(LibNameString)Þmatriisi tai merkkijono getVarInfo() laskee tietomatriisin (muuttujan nimi, tyyppi, kirjaston käytettävyys ja lukittu/lukitsematon-tila) kaikille nykyisessä tehtävässä määritetyille muuttujille ja kirjasto-objekteille. Jos yhtään muuttujaa ei ole määritetty, getVarInfo() antaa vastauksena merkkijonon "NONE". getVarInfo(KirjNimiMerkkijono)antaa tuloksena tietomatriisin kaikista kirjastossa KirjNimiMerkkijono määritetyistä kirjasto-objekteista. KirjNimiMerkkijonon on oltava merkkijono (lainausmerkkien sisällä oleva teksti) tai merkkijonomuuttuja. Jos kirjastoa KirjNimiMerkkijono ei ole olemassa, esiintyy virhe. |
|
|
Huomaa vasemmanpuoleinen esimerkki, jossa funktion getVarInfo() vastaus on määritetty muuttujaan vs. Jos muuttujan vs riviä 2 tai riviä 3 yritetään näyttää, tuloksena on “Kelpaamaton lista tai matriisi” -virhe, koska vähintään yksi näiden rivien elementeistä (esimerkiksi muuttuja b) sieventyy uudelleen matriisiksi. Tämä virhe voi esiintyä myös käytettäessä Ans-muuttujaa funktion getVarInfo() tuloksen uudelleenlaskennassa. Järjestelmä antaa edellä mainitun virheen, koska ohjelmiston nykyinen versio ei tue yleistettyä matriisirakennetta, jossa matriisin elementti voi olla joko matriisi tai lista. |
|
|
Katalogi > |
|
|
Goto tunnusnimi Siirtää ohjauksen tunnukseen tunnusnimi. tunnusnimi on määritettävä samassa funktiossa käyttäen Lbl-ohjetta. Huomaa esimerkkiä syöttäessäsi: Ohjeet monirivisten ohjelmien ja funktion määritysten syöttämisestä löytyvät tuotteen ohjekirjan Laskin-osiosta. |
|
|
Katalogi > |
|
|
Laus1 4 GradÞlauseke Muuttaa Laus1:n graadikulmaan. Huomaa: Voit syöttää tämän operaattorin tietokoneen näppäimistöltä kirjoittamalla @>Grad. |
Astekulmatilassa:
|
