Lausekemallit
Lausekemallien avulla voit syöttää matemaattisia lausekkeita normaalissa matemaattisessa muodossa. Lisätessäsi mallin se näkyy syöterivillä siten, että elementtien syöttökohdissa on pienet ruudut. Kohdistin on syötettävän elementin kohdalla.
Voit siirtää kohdistimen kunkin elementin kohdalle nuolipainikkeilla tai painikkeella e, jonka jälkeen voit kirjoittaa elementin arvon tai lausekkeen. Lauseke sievennetään painamalla painikkeita · tai /·.
|
/p painikkeet |
|
|
|
Esimerkki:
|
|
l painike |
|
|
Huomaa: Syötä ensimmäinen arvo, paina l ja syötä sen jälkeen eksponentti. Voit palauttaa kohdistimen perusviivalle painamalla oikealle osoittavaa nuolta (¢). Huomaa: Katso myös ^ (potenssi), täältä. |
Esimerkki:
|
|
/q painikkeet |
|
|
|
Esimerkki:
|
|
/l painikkeet |
|
|
|
Esimerkki:
|
|
u painikkeet |
|
|
e-kantainen eksponenttifunktio korotettuna potenssiin Huomaa: Katso myös e^(), täältä. |
Esimerkki:
|
|
/s painike |
|
|
Laskee määritetyn kantaisen logaritmin. 10-kantaista logaritmia laskettaessa kantaluku jätetään pois. Huomaa: Katso myös log(), täältä. |
Esimerkki:
|
|
Katalogi > |
|
|
Voit luoda lausekkeita ja ehtoja 2‑osaiselle paloittain määritellylle funktiolle. Lisää osa napsauttamalla mallia ja toista malli. Huomaa: Katso myös piecewise(), täältä. |
Esimerkki:
|
|
Katalogi > |
|
|
Voit luoda lausekkeita ja ehtoja N‑-osaiselle paloittain määritellylle funktiolle. Laskin pyytää N:n arvoa.
Huomaa: Katso myös piecewise(), täältä. |
Esimerkki: Katso paloittain määritellyn funktion (2-osaisen) mallin esimerkki. |
|
Katalogi > |
|
|
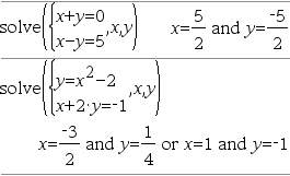
Luo kahden Huomaa: Katso myös system(), täältä. |
Esimerkki:
|
|
Katalogi > |
|
|
Voit luoda N
Huomaa: Katso myös system(), täältä. |
Esimerkki: Katso yhtälöparin (2 yhtälöä) mallin esimerkki. |
|
Katalogi > |
|
|
|
Esimerkki:
|
|
Katalogi > |
|
|
Voit syöttää kulmia muodossa dd°mm’ss.ss’’, jossa dd on desimaaliasteiden lukumäärä, mm on minuuttimäärä, ja ss.ss on sekuntimäärä. |
Esimerkki:
|
|
Katalogi > |
|
|
Luo 2 x 2 -matriisin. |
Esimerkki:
|
|
Katalogi > |
|
|
|
Esimerkki:
|
|
Katalogi > |
|
|
|
Esimerkki:
|
|
Katalogi > |
|
|
Malli tulee näkyviin määritettyäsi rivien ja sarakkeiden lukumäärän syöttöruutuun.
Huomaa: Jos luot paljon rivejä ja sarakkeita sisältävän matriisin, voi kestää jonkin aikaa, ennen kuin matriisi tulee näkyviin. |
Esimerkki:
|
|
Katalogi > |
|
|
Huomaa: Katso myös G() (sumSeq), täältä. |
Esimerkki:
|
|
Katalogi > |
|
|
Huomaa: Katso myös P() (prodSeq), täältä. |
Esimerkki:
|
|
Katalogi > |
|
|
Ensimmäisen derivaatan mallia voi käyttää myös laskettaessa numeerisesti ensimmäinen derivaatta pisteessä käyttäen automaattisia derivointimenetelmiä. Huomaa: Katso myös d() (derivaatta), täältä. |
Esimerkki:
|
|
Katalogi > |
|
|
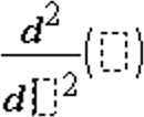
Toisen derivaatan mallia voi käyttää myös laskettaessa numeerisesti toinen derivaatta pisteessä käyttäen automaattisia derivointimenetelmiä. Huomaa: Katso myös d() (derivaatta), täältä. |
Esimerkki:
|
|
Katalogi > |
|
|
Määrätyn integraalin mallia voi käyttää myös laskettaessa numeerisesti määrätty integraali käyttäen samaa menetelmää kuin nInt(). |
Esimerkki:
|





.