Tilastot, regressiot ja jakaumat
v % u
v-näppäimellä voit syöttää ja muokata datalistoja. (Katso kappale Dataeditori.)
Näppäimet % u avaavat STAT-REG-valikon, joka sisältää seuraavat toiminnot.
Huomaa:
| • | Regressioista tallentuvat regression tiedot sekä datan kahden muuttujan tilastot StatVars-valikkoon (valikon kohta 1). |
| • | Regression voi tallentaa joko riville f(x) tai g(x). Regressiokertoimet näkyvät täydellä tarkkuudella. |
Vastauksia koskeva tärkeä huomautus: Monissa regressioyhtälöissä on samat muuttujat a, b, c ja d. Jos suoritat regressiolaskun, lasku ja kyseisen datan kahden muuttujan tilastot tallentuvat StatVars-valikkoon ja säilyvät tallessa seuraavaan tilasto- tai regressiolaskutoimitukseen saakka. Tuloksia on tulkittava viimeksi suoritetun tilasto- tai regressiolaskutoimituksen tyypin perusteella. Oikean tulkinnan helpottamiseksi otsikkorivillä on muistutus viimeksi suoritetusta laskusta.
|
1:StatVars |
Avaa viimeksi laskettujen tilastotulosmuuttujien toisen valikon. Etsi haluamasi muuttuja näppäimillä $ ja # ja valitse se <-näppäimellä. Jos valitset tämän vaihtoehdon ennen yhden tai kahden muuttujan tilastojen tai minkään regressioyhtälön laskemista, näkyviin tulee muistutus. |
|
2:1-VAR STATS |
Analysoi tilastotietoja yhdestä datasarjasta, jossa on yksi mitattu muuttuja, x. Frekvenssitiedot voivat sisältyä analyysiin. |
|
3:2-VAR STATS |
Analysoi dataparin kahdesta datasarjasta, jossa on kaksi mitattua muuttujaa: riippumaton muuttuja x ja riippuva muuttuja y. Frekvenssitiedot voivat sisältyä analyysiin. Huomaa: Kahden muuttujan tilastoissa lasketaan myös lineaarinen regressio ja annetaan lineaarisen regression tulokset. Näyttää a:n (kulmakerroin) ja b:n (y-akselin leikkauspiste) arvot sekä r2:n ja r:n arvot. |
|
4:LinReg ax+b |
Sovittaa malliyhtälöä y=ax+b dataan käyttäen pienimmän neliösumman menetelmää vähintään kahdessa datapisteessä. Näyttää a:n (kulmakerroin) ja b:n (y-akselin leikkauspiste) arvot sekä r2:n ja r:n arvot. |
|
5:PropReg ax |
Sovittaa malliyhtälöä y=ax dataan käyttäen pienimmän neliösumman menetelmää vähintään yhdessä datapisteessä. Näyttää a:n arvon. Tukee dataa, joka muodostaa pystyviivan, lukuun ottamatta kaikkea 0-dataa. |
|
6:RecipReg a/x+b |
Sovittaa lineaariseen dataan malliyhtälöä y=a/x+b käyttäen pienimmän neliösumman menetelmää vähintään kahdessa datapisteessä. Näyttää a:n ja b:n arvot sekä r2:n ja r:n arvot. |
|
7:QuadraticReg |
Sovittaa dataan toisen asteen polynomifunktiota y=ax2+bx+c. Näyttää a:n, b:n ja c:n arvot sekä R2:n arvon. Kolmessa datapisteessä yhtälö on polynominen. Jos pisteitä on neljä tai enemmän, se on polynomiregressio. Vähintään kolme datapistettä vaaditaan. |
|
8:CubicReg |
Sovittaa dataan kolmannen asteen polynomifunktiota y=ax3+bx2+cx+d. Näyttää a:n, b:n, c:n ja d:n arvot sekä R2:n arvon. Neljässä datapisteessä yhtälö on polynominen. Jos pisteitä on viisi tai enemmän, se on polynomiregressio. Vähintään neljä pistettä vaaditaan. |
|
9:LnReg a+blnx |
Sovittaa dataan malliyhtälöä y=a+b ln(x) käyttäen pienimmän nelisumman menetelmää ja transformoituja arvoja ln(x) ja y. Näyttää a:n ja b:n arvot sekä r2:n ja r:n arvot. |
|
:PwrReg ax^b |
Sovittaa dataan malliyhtälöä y=axb käyttäen pienimmän neliösumman menetelmää ja transformoituja arvoja ln(x) ja ln(y). Näyttää a:n ja b:n arvot sekä r2:n ja r:n arvot. |
|
:ExpReg ab^x |
Sovittaa dataan malliyhtälöä y=abx käyttäen pienimmän neliösumman menetelmää ja transformoituja arvoja x ja ln(y). Näyttää a:n ja b:n arvot sekä r2:n ja r:n arvot. |
|
:expReg ae^(bx) |
Sovittaa lineaariseen dataan malliyhtälöä y=a e^(bx) käyttäen pienimmän neliösumman menetelmää vähintään kahdessa datapisteessä. Näyttää a:n ja b:n arvot sekä r2:n ja r:n arvot. |
Näppäimillä % u " avataan DISTR-valikko, joka sisältää seuraavat jakaumafunktiot:
|
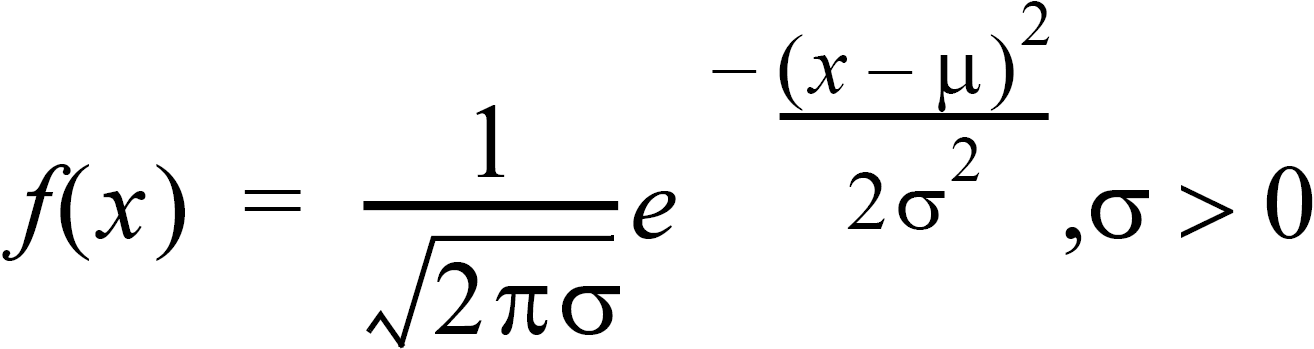
1:Normalpdf |
Laskee normaalijakauman tiheysfunktion (pdf) tietyllä x:n arvolla. Oletusarvot ovat keskiarvo mu=0 ja keskihajonta sigma=1. Todennäköisyysfunktio (pdf) on:
|
|
2:Normalcdf |
Laskee normaalijakauman todennäköisyyden alarajan ja ylärajan välillä tietyllä keskiarvolla mu ja keskihajonnalla sigma. Oletusarvot ovat mu=0; sigma=1; alaraja = M1E99 ja yläraja = 1E99. Huomaa: M1E99–1E99 tarkoittaa Määrettömästä äärettömään. |
|
3:invNormal |
Laskee normaalijakauman kertymäfunktion käänteisfunktion tietylle pinta-alalle keskiarvon mu ja keskihajonnan sigma määrittämän normaalijakauman käyrän alapuolella. Laskee x:n arvon, joka liittyy x:n arvosta vasemmalle olevaan alueeseen. 0 { area { 1 on oltava tosi. Oletusarvot ovat pinta-ala=1, mu=0 ja sigma=1. |
|
4:Binomialpdf |
Laskee binomijakauman todennäköisyysfunktion satunnaismuuttujan x arvon tietyllä toistojen määrällä numtrials ja onnistumistodennäköisyydellä (p) kullekin yritykselle. x on ei-negatiivinen kokonaisluku ja voidaan syöttää vaihtoehtoisesti YHTENÄ syötteenä, syötteiden LISTANA tai sisältäen KAIKKI syötteet (saadaan lista todennäköisyyksistä väliltä 0 ja numtrials). 0 { p { 1 on oltava tosi. Todennäköisyysfunktio (pdf) on:
|
|
5:Binomialcdf |
Laskee binomijakauman kertymäfunktion satunnaismuuttujan x arvon tietyllä toistojen numtrials määrällä ja onnistumistodennäköisyydellä (p) kullekin yritykselle. x voi olla ei-negatiivinen kokonaisluku, joka voidaan syöttää YHTENÄ syötteenä, LISTANA tai KAIKKI (saadaan lista kumulatiivisista todennäköisyyksistä.) 0 { p { 1 on oltava tosi. |
|
6:Poissonpdf |
Laskee Poissonin jakauman satunnaismuuttujan x arvon tietyllä keskiarvolla mu (m), jonka on oltava reaaliluku > 0. x voi olla ei-negatiivinen kokonaisluku (YKSI) tai kokonaislukujen lista (LISTA). Oletusarvo on mu=1. Todennäköisyysfunktio (pdf) on:
|
|
7:Poissoncdf |
Laskee Poissonin jakauman kertymäfunktion satunnaismuuttujan x arvon tietyllä keskiarvolla mu, jonka on oltava reaaliluku > 0. x voi olla ei-negatiivinen kokonaisluku (YKSI) tai kokonaislukujen lista (LISTA). Oletusarvo on mu=1. |
Tilastotulokset
|
Muuttujat |
1-Var tai 2-Var |
Määritelmä |
|---|---|---|
|
n |
Kumpikin |
x tai (x,y) datapisteiden määrä |
|
v |
Kumpikin |
Kaikkien x:n arvojen keskiarvo |
|
w |
2-Var |
Kaikkien y:n arvojen keskiarvo |
|
Sx |
Kumpikin |
x:n otoksen keskihajonta |
|
Sy |
2-Var |
y:n otoksen keskihajonta |
|
sx |
Kumpikin |
x:n perusjoukon keskihajonta |
|
sy |
2-Var |
y:n perusjoukon keskihajonta |
|
Gx tai Gx2 |
Kumpikin |
Kaikkien x:n tai x2:n arvojen summa |
|
Gy tai Gy2 |
2-Var |
Kaikkien y:n tai y2:n arvojen summa. |
|
Gxy |
2-Var |
Summa (xQy) kaikista xy-pareista. |
|
a |
2-Var |
Lineaarisen regression kulmakerroin |
|
b |
2-Var |
Lineaarisen regression y-akselin leikkauspiste |
|
r2 tai r |
2-Var |
Korrelaatiokerroin |
|
x¢ |
2-Var |
Laskee muuttujien a ja b avulla ennustetun x:n arvon annettaessa y:n arvo |
|
y¢ |
2-Var |
Laskee muuttujien a ja b avulla ennustetun y:n arvon annettaessa x:n arvo |
|
minX tai maxX |
Kumpikin |
x:n arvojen minimi tai maksimi |
|
Q1 |
1-Var |
minX:n ja Med:n välisten elementtien keskiluku (1. kvartiili) |
|
Med |
1-Var |
Kaikkien datapisteiden keskiluku |
|
Q3 |
1-Var |
Med:n ja maxX:n välisten elementtien keskiluku (3. kvartiili) |
|
minY tai maxY |
2-Var |
y:n arvojen minimi tai maksimi |
Tilastolliset datapisteet määritetään seuraavasti:
| 1. | Lisää data kohtaan L1, L2 tai L3. (Katso kappale Dataeditori.) |
Huomaa: Ei-kokonaislukuiset frekvenssielementit kelpaavat. Tästä on hyötyä syötettäessä prosentteina tai osuuksina ilmaistuja frekvenssejä, joiden yhteenlaskettu summa on 1. Otoksen keskihajonta, Sx, määritetään kuitenkin ei-kokonaislukuisina frekvensseinä, ja tämän arvon kohdalla näkyy viesti Sx=Error. Kaikki muut tilastot näytetään.
| 2. | Paina näppäimiä % u. Valitse 1-Var tai 2-Var ja paina <-näppäintä. |
| 3. | Valitse L1, L2 tai L3 sekä frekvenssi. |
| 4. | Avaa muuttujien valikko painamalla <-näppäintä. |
| 5. | Voit tyhjentää datan näppäilemällä v v, valitsemalla tyhjennettävän listan ja painamalla <-näppäintä. |
Yhden muuttujan esimerkki
Laske lukujen {45,55,55,55} keskiarvo.
|
Poista kaikki tiedot |
v v $ $ $ |
|
|
Data |
< 45 $ 55 $ 55 $ 55 < |
|
|
Stat |
% s % u |
|
|
|
2 (valitsee yhden muuttujan tilastot 1-VAR STATS) $ $ |
|
|
|
< |
|
|
Stat Var |
2 < |
|
|
|
V 2 < |
|
Kahden muuttujan esimerkki
Data: (45,30); (55,25). Määritä: x¢(45).
|
Poista kaikki tiedot |
v v $ $ $ |
|
|
Data |
< 45 $ 55 $ " 30 $ 25 $ |
|
|
Stat |
% u |
|
|
|
3 (valitsee kahden muuttujan tilastot 2-VAR STATS) $ $ $ |
|
|
StatVars |
< % s % u 1 # # # # # # |
|
|
|
< 45 ) < |
|
Tehtävä
Antti sai viimeisestä neljästä kokeesta seuraavat numerot. Kokeiden 2 ja 4 tuloksia painotettiin 0,5:llä ja kokeiden 1 ja 3 tuloksia 1:llä.
|
Kokeen nro |
1 |
2 |
3 |
4 |
|
Koetulos |
12 |
13 |
10 |
11 |
|
Painotusarvo |
1 |
0,5 |
1 |
0,5 |
| 1. | Laske Antin keskiarvo (painotettu keskiarvo). |
| 2. | Mitä laskimen antama arvo n tarkoittaa? Mitä laskimen antama arvo Gx tarkoittaa? |
Muistutus: Painotettu keskiarvo on
| 3. | Opettaja antoi Antille neljä lisäpistettä kokeesta 4 tekemänsä arvosteluvirheen vuoksi. Laske Antin uusi keskiarvo. |
|
v v $ $ $ |
|
|
< v " $ $ $ $ |
|
|
< 12 $ 13 $ 10 $ 11 $ " 1 $ .5 $ 1 $ .5 < |
|
|
% u |
|
|
2 $ " " < |
|
|
< |
|
Antin keskiarvo (v) on 11.33 (pyöristettynä lähimpään sadasosaan).
Laskimessa näkyvä n tarkoittaa painotusten kokonaissummaa.
n = 1 + 0.5 + 1 + 0.5.
Gx tarkoittaa Antin koetulosten painotettua summaa.
(12)(1) + (13)(0.5) + (10)(1) + (11)(0.5) = 34.
Muuta Antin viimeinen koetulos 11 pisteestä 15 pisteeseen.
|
v $ $ $ 15 < |
|
|
% u 2 $ " " < < |
|
Jos opettaja lisää neljä pistettä kokeeseen 4, Antin keskiarvo on 12.
Tehtävä
Alla olevassa taulukossa on esitetty jarrutuskokeen tulokset.
|
Kokeen nro |
1 |
2 |
3 |
4 |
|
Nopeus (km/h) |
33 |
49 |
65 |
79 |
|
Jarrutusmatka (m) |
5.30 |
14.45 |
20.21 |
38.45 |
Määritä nopeuden ja jarrutusmatkan välisen suhteen perusteella 55 kilometrin tuntinopeudella kulkevan ajoneuvon vaatima jarrutusmatka.
Näistä datapisteistä käsin piirretty kaavio osoittaa, että suhde on lineaarinen. Laskin määrittää parhaan vastaavuussuoran, y'=ax'+b, listoihin syötetylle datalle pienimmän neliösumman menetelmällä.
|
v v $ $ $ |
|
|
< 33 $ 49 $ 65 $ 79 $ " 5.3 $ 14.45 $ 20.21 $ 38.45 < |
|
|
% s % u |
|
|
3 (valitsee kahden muuttujan tilastot 2-VAR STATS) $ $ $ |
|
|
< |
|
|
Paina tarpeen mukaan näppäintä $, jotta näet a:n ja b:n arvon. |
|
Tämä parhaan vastaavuuden suora, y'=0.67732519x'N18.66637321, mallintaa datan lineaarisen trendin.
|
Paina näppäintä $, kunnes y' näkyy korostuneena. |
|
|
< 55 ) < |
|
Lineaarisesta mallista 55 kilometrin tuntinopeudella kulkevan ajoneuvon arvioiduksi jarrutusmatkaksi saadaan 18,59 metriä.
Regressioesimerkki 1
Laske lineaarinen regressio ax+b seuraavalle datalle: {1,2,3,4,5}; {5,8,11,14,17}.
|
Poista kaikki tiedot |
v v $ $ $ |
|
|
Data |
< 1 $ 2 $ 3 $ 4 $ 5 $ " 5 $ 8 $ 11 $ 14 $ 17 < |
|
|
Regressio |
% s % u $ $ $ |
|
|
|
< |
|
|
|
$ $ $ $ < Tutki kaikkia vastausmuuttujia näppäimellä $. |
|
Regressioesimerkki 2
Laske eksponentiaalinen regressio seuraavalle datalle:
| • | L1 = {0,1,2,3,4}; L2 = {10,14,23,35,48} |
| • | Määritä datan keskiarvo listasta L2. |
| • | Vertaa eksponentiaalisen regression arvoja listaan L2. |
|
Poista kaikki tiedot |
v v 4 |
|
|
Data |
0 $ 1 $ 2 $ 3 $ 4 $ " 10 $ 14 $ 23 $ 35 $ 48 < |
|
|
Regressio |
% u # # |
|
|
Tallenna regressioyhtälö I-valikon kohtaan f(x). |
< $ $ $ " < |
|
|
Regressioyhtälö |
< |
|
|
Määritä listan L2 datan keskiarvo (y) tilastomuuttujien (StatVars) avulla. |
% u 1 (valitsee tilastomuuttujat StatVars) $ $ $ $ $ $ $ $ |
Huomaa, että otsikkorivillä muistutetaan viimeisimmästä tilasto- tai regressiolaskusta. |
|
Tutki regressioyhtälön arvotaulukkoa. |
I 1 |
|
|
|
< $ 0 < 1 < |
|
|
|
< < |
|
Varoitus: Jos lasket nyt datalle kahden muuttujan tilastot (2-Var Stats), muuttujat a ja b (sekä r ja r2) lasketaan lineaarisena regressiona. Älä laske uudelleen kahden muuttujan tilastoja (2-Var Stats) minkään toisen regressiolaskun jälkeen, jos haluat säilyttää kyseisen tehtävän regressiokertoimet (a, b, c, d) ja r:n arvot StatVars-valikossa.
Jakaumaesimerkki
Laske binomijakauma pdf x:n arvoissa {3,6,9} kokeiden määrällä 20 ja onnistumistodennäköisyydellä 0.6. Syötä x:n arvot listaan L1, tallenna vastaukset listaan L2 ja laske sen jälkeen todennäköisyyksien summa ja tallenna muuttuja t.
|
Poista kaikki tiedot |
v v $ $ $ |
|
|
Data |
< 3 $ 6 $ 9 < |
|
|
DISTR |
% u " $ $ $ |
|
|
|
< " |
|
|
|
< 20 $ 0.6 |
|
|
|
< $ $ |
|
|
|
< |
|
|
|
v ! 4 " < |
|
|
|
< " " " " < < |
|