Math Operations
When you select the chain (Chn) calculation method, the calculator evaluates mathematical expressions (for example, 3 + 2 Q 4) in the order that you enter them.
Examples of Math Operations
These operations require you to press N to complete.
|
To |
Press |
Display |
|
|
Add 6 + 4 |
6 H 4 N |
10.00 |
|
|
Subtract 6 N 4 |
6 B 4 N |
2.00 |
|
|
Multiply 6 Q 4 |
6 < 4 N |
24.00 |
|
|
Divide 6 P 4 |
6 6 4 N |
1.50 |
|
|
Find universal power: 31.25 |
3 ; 1.25 N |
3.95 |
|
|
Use parentheses: 7 Q (3 + 5) |
7 < 9 3 H 5 : N |
56.00 |
|
|
Find percent: 4% of $453 |
453 < 4 2 N |
18.12 |
|
|
Find percent ratio: 14 to 25 |
14 6 25 2 N |
56.00 |
|
|
Find price with percent add-on: |
498 H 7 2 |
34.86 |
|
|
Find price with percent discount: $69.99 N 10% |
69.99 B 10 2 |
7.00 |
|
|
Square 6.32 |
6.3 4 |
39.69 |
|
|
Find number of combinations where: n = 52, r = 5 |
52 & s 5 N |
2,598,960.00 |
|
|
Find number of permutations where: n = 8, r = 3 |
8 & m 3 N |
336.00 |
|
These operations do not require you to press N to complete.
|
To |
Press |
Display |
|
|
Find square root: |
15.5 3 |
3.94 |
|
|
Find reciprocal: 1/3.2 |
3.2 5 |
0.31 |
|
|
Find factorial: 5! |
5& g |
120.00 |
|
|
Find natural logarithm: ln 203.45 |
203.45 > |
5.32 |
|
|
Find natural antilogarithm: e.69315 |
.69315 & i |
2.00 |
|
|
Round 2 P 3 to the set decimal format |
2 6 3 N & o |
0.67 |
|
|
Generate random number* |
& a |
0.86 |
|
|
Store seed value |
D& a |
0.86 |
|
|
Find sine:** sin(11.54°) |
11.54 & d |
0.20 |
|
|
Find cosine:** cos(120°) |
120 & e |
-0.50 |
|
|
Find tangent:** tan(76°) |
76 & f |
4.01 |
|
|
.2 8 d |
11.54 |
||
|
.5 S 8 e |
120.00 |
||
|
4 8 f |
75.96 |
||
|
Find hyperbolic sine: sinh(.5) |
.5 & c d |
0.52 |
|
|
Find hyperbolic cosine: cosh(.5) |
.5 & c e |
1.13 |
|
|
Find hyperbolic tangent: tanh(.5) |
.5 & c f |
0.46 |
|
|
Find hyperbolic arcsine: sinh-1(5) |
5 & c 8 d |
2.31 |
|
|
Find hyperbolic arccosine: cosh-1(5) |
5 & c 8 e |
2.29 |
|
|
Find hyperbolic arctangent: tanh-1(.5) |
.5 & c 8 f |
0.55 |
|
* The random number you generate might be different.
** Angles can be computed in degrees or radians. Examples show angles in degrees. (See: Choosing the Angle Units).
Universal Power ;
Press ; to raise the displayed postive number to any power (for example, 2-5 or 2(1/3).)
Note: Because the reciprocal of an even number (such as, 1/2, 1/4, 1/6) is a complex number, you can only raise a negative number to an integer power or the reciprocal of an odd number.
Parentheses 9 :
Use parentheses to control the order in which the calculator evaluates a numeric expression in division, multiplication, powers, roots, and logarithm calculations. The calculator includes up to 15 levels of parentheses and up to 8 pending operations.
Note: You do not have to press : for expressions ending in a series of closed parentheses. Pressing N closes parentheses automatically, evaluates the expression, and displays the final result. To view intermediate results, press : once for each open parenthesis.
Factorial & g
The number for which you compute a factorial must be a positive integer less than or equal to 69.
Random Numbers & a
The calculator generates a random real number between zero and one (0<x<1) from a uniform distribution.
You can repeat a sequence of random numbers by storing a seed value in the random number generator. Seed values help you recreate experiments by generating the same series of random numbers.
To store a seed value, key in an integer greater than zero and press D & a.
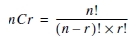
Combinations & s
The calculator computes the number of combinations of n items taken r at a time. Both the n and r variables must be greater than 0.
Permutations & m
The calculator computes the number of permutations of n items taken r at a time. Both the n and r variables must be greater than 0.
Rounding & o
The calculator computes using the rounded, displayed form of a number instead of the internally stored value.
For example, working in the Bond worksheet, you might want to round a computed selling price to the nearest penny (two decimal places) before continuing your calculation.
Note: The calculator stores values to an accuracy of up to 13 digits. The decimal format setting rounds the displayed value but not the unrounded, internally stored value. (See “Choosing the Number of Decimal Places Displayed”.)
Scientific Notation ;
When you compute a value in the standard-decimal format that is either too large or small to be displayed, the calculator displays it in scientific notation, that is, a base value (or mantissa), followed by a blank space, followed by an exponent.
With AOS selected, you can press ; to enter a number in scientific notation. (See “Choosing Calculation Methods”.)
For example, to enter 3 Q 103, key in 3 < 10 ; 3.
